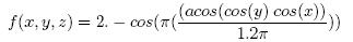
Results for the analytical function f1 =           To come back

Target field on the masked ORCA2 U grid
Cible interpolée masquée